|
|
SAMPLE OF OUR WORK IN PDF FORMAT
SCROLL DOWN TO SEE ALL THE PAGES.
From our Portfolio:
Here's a sample of a complete Architectural Drawing for a Large Texas Hill Country Ranch Home. The idea our client came to us with is that they wished to have a home that looked as though it had been there for a century or more. We wanted to make it look as though it had been added onto many times through the years.
This home features a large old barn that we used as a Great Room. It was relocated all the way from Pennsylvania to Texas. We used the large timbers to form the Great Room in the center. Everything else looks as though it was added onto it. It features many large wrap around porches. We took extra care in the orientation of this home on the property so that the owners could enjoy morning coffee and lazy afternoons on the large porches. It also has a beautiful infinity tub adjoining the Master Suite.
Once the project was completed, it looked as though it had been there for a hundred years!
Just as the owners wished when we first met.
|
3D Modeling of the Project
With a 3D model we can pretty much show you whatever you ask to see. 3D modeling allows you to visualize what your home will look like once it is built. You can actually walk through it room by room. We can remove the roof so you can get a birds eye view of it with all the beams and cabinets in place. We can model the sun at any given time of the year so you can see the effects of the sun on the porches to make sure we have the orientation just right.
|
|
Color Rendering of the Project
In addition to the 3D model, for this project, the client opted to have us do a color rendering of the project so they could visualize the finished project including proposed landscaping.
|
|
Drawing Cover Page
This cover page includes an index for the drawing, the scope of the work to be performed, a symbol legend, a vicinity map to the project, and general notes for the project.
|
|
Architectural Page A-1.0 Elevations
This is the first Architectural page of the drawing. Note the details which include siding materials, roof finishes, chimney locations. All elevation heights are also called out from the plate heights or finished floor height. Sections are also shown.
|
|
Architectural Page A-1.1 Elevations
Contractor notes, call out boxes, details, as well as section detail view box, the roof finish materials are also drawn. All Elevations are drawn to at least 1/4" = 1'-0" scale on residential projects.
|
|
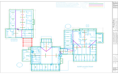
Architectural Page A-2.0 Floor Plan
Detailed floor plans include Area Tabulations for each part of the project. Plan notes, all dimensions to the framed walls Section lines, elaborate notes, floor finishes, all the information for framing to take place.
|
|
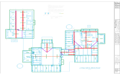
Architectural Page A-3.0 Roof Plan
Roof framing plan shows roof layout including roof crickets, ridges, valleys, pitch breaks, shed roof, hips, and all dimensions to framed walls. Overhangs are given to finished fascia.
|
|
Architectural Page A-4.0 Sections
Sections bring together relationships that would be difficult to understand from floor plans alone. These Section pages show the home as if we had taken a cookie cutter and cut the home at various locations. Sections are used to describe the relationship between different levels of a building geometrically; a cross section is a horizontal orthographic projection of a building on to a vertical plane, with the vertical plane cutting through the building. Sections amongst other things, give you a sense of how much volume you will have in your home at any given place.
|
|
Architectural Page A-4.1 Section Page
A sectional elevation is a combination of a cross section, with elevations of other parts of the building seen beyond the section plane.
|
|
Architectural Page A-4.2 Section Page
A Trans Lateral Section With Additional Isometric Details.
|
|
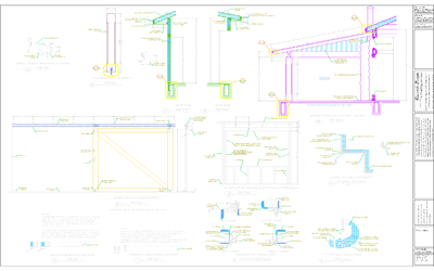
Architectural Page A-5.0 Details
Details showing various assemblies. Here SIP (Structurally Insulated Panels) panels were used. This is a Super Energy Efficient Construction Technique.
|
|
Architectural Page A-5.1 Details
Details Page showing Windows and Doors Schedules.
|
|
Architectural Page A-5.2 Details
Details Page showing specific assemblies Notably Sliding Barn Door and Corner Siding Detail for Hardi Plank Siding.
|
|
Architectural Page A-5.3 Details
SIP (Structurally Insulated Panels) Detailed Assemblies.
|
|
Architectural Page A-5.4 Details
Details of Interior Living Room Cabinet Elevations, Fireplace Elevation, Kitchen Cabinets, Island Elevations.
|
|
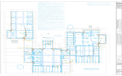
Mechanical Page E-1.0 Electrical
This is the main electrical layout. It shows a complete wiring diagram, including, duplexes, light switches, light fixtures, ceiling fans, telephone and cable TV outlets, main electrical panel. This page also contains electrical wiring specifications for the garage portion of the project. A plan legend is also included on this page.
|
|
Mechanical Page P-1.0 Plumbing
Exclusive to our designs! Other Design Firms do not generally provide these details and pages. **
Frustration from personal experiences led us to develop these pages.
We decided to include a plumbing layout that shows the plumbing fixtures superimposed on the concrete foundation plan. All dimensions are given to the center of the walls and to the center of the fixture. This page allows the plumbers to correctly install the drain and water lines so that YOU decide the actual layout of your home and not the plumbers by making a mistake.
|
|
Structural Page S-1.0 Structural Foundation
Engineered Structural Foundation page for the house contains all the information the concrete contractors will need to form the project. Dimensions are given to inside of concrete forms. Drop stone lug is drawn and specified as needed. This page also includes general specifications, concrete notes, and cross section beam information.
|
|
Structural Page S-2.0 Structural Details
Engineered Structural beam cross sections
with soil compaction and specification.
|
|
Structural Page S-2.1 Structural Details
Structural beams page for the project contains all the information the framers will need to locate the structural glue lam beams within the project. This page specifies the location as well as the size of beams.
|
|
Civil Page SP-1.0 Large Site Plan
The Surveyor provided the basic property survey, we imported the his data into our CAD system including the general topographical and tree location data.
|
|
Civil Page SP-1.0 Close-up Site Plan
From the survey above we enlarged the area where we wanted to locate the home. We then made sure the orientation was right and that the topography was appropriate for our purposes.
|
|
|
|